
建设人才高地,培育财经精英
加强科技人才队伍建设
提升人才队伍创新能力
“正保会计网校杯”第十三届全国校园财会大赛是由中国高等教育学会高等财经教育分会指导的全国性财会比赛,承办学校遍布全国31个省/直辖市,包括北京、广州、山东、湖北、陕西、云南、四川等31个分赛区,参赛院校预计数百所,数十万学子参赛。
大赛秉承公开、公平、公正的原则,竞赛内容以财会知识和技能为主,为参赛选手和高校提供一个规范化、专业化的竞赛平台和自我展现的舞台。
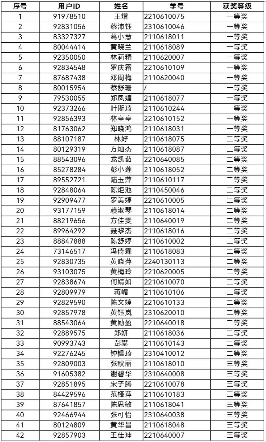
截止至 2024年5月12日,太阳成集团tyc7111共有223名同学参与比赛,经过课程学习和线上答题两个环节的激烈角逐,我院共有68名同学获得名次,其中一等奖12名,二等奖22名,三等奖34名。获奖名单公布如下(排名不分先后)。

